HOME
ABOUT US
COMPANY PROFILE
CORPORATE CULTURE
CORPORATE HONOR
R&D CENTER
OUR PRODUCTS
PRODUCT UNDER RESEARCH
OUR SERVICE
NEWS
INDUSTRY NEWS
COMPANY NEWS
COOPERATION PARTNERS
CONTACT US
Business consultation
Career Opportunity
Contact Us
CN
EN
HOME
ABOUT US
COMPANY PROFILE
CORPORATE CULTURE
CORPORATE HONOR
R&D CENTER
OUR PRODUCTS
PRODUCT UNDER RESEARCH
OUR SERVICE
NEWS
INDUSTRY NEWS
COMPANY NEWS
COOPERATION PARTNERS
CONTACT US
Business consultation
Career Opportunity
Contact Us
CN
EN
HOME
R&D CENTER
Product Under Research
Our Products
Product Under Research
Our Service
PRODUCT UNDER RESEARCH
Lanthanum Carbonate Chewable Tablets
【Strength】500mg(calculated as elem...
Esomeprazole Magnesium Enteric-coated Tablets
【Strength】(1)20mg(calculated as Esom...
Dexrabeprazole sodium Enteric-coated Tablets
【Strength】10mg...
S(-)Pantoprazole Sodium Enteric-coated Tablets
【Strength】 20mg(calculated as S(-)...
Esomeprazole Sodium Enteric-coated Tablets
【Strength】(1)20mg(calculated as Esom...
Pramiracetam Sulfate Tablets
【Strength】600mg(calculated as Pram...
Felodipine sustained-Release Tablets
【Strength】5mg...
Melilotus Extract Tablets
【Strength:】Each tablet contains 25...
Trimetazidine Dihydrochloride Modified-release Tablets
【Strength】35mg...
Methenamine Mandelate Tablets
【Strength】1g...
Olanzapine and Fluoxetine Capsules
【Strength】(1)3mg/25mg(calculated as...
Pramipexole Dihydrochloride Capsules
【Strength】(1)0.125mg(2)0.25mg...
Rabeprazole Sodium Enteric-coated Pellets Capsules
【Strength】 (1) 10mg; (2) 20mg...
Dexrabeprazole Sodium for Injection
【Strength】10mg...
Levopantoprazole Sodium For Injection
【Strength】20mg(calculated as Levop...
Esomeprazole Sodium for Injection
【Strength】40mg(calculated as esome...
Policresulen Solution
【Strength1】1%(Each 100 ml of solut...
Halometason
【Pharmaceutical Form】APIs...
Lanthanum Carbonate
【Pharmaceutical Form】APIs...
Esomeprazole Magnesium
【Pharmaceutical Form】APIs...
Dexrabeprazole Sodium
【Pharmaceutical Form】APIs...
Levopantoprazole Sodium
【Pharmaceutical Form】APIs...
Pramipexole Dihydrochloride Monohydrate
【Pharmaceutical Form】APIs...
Pramiracetam Sulfate
【Pharmaceutical Form】APIs...
Methenamine Mandelate
【Pharmaceutical Form】APIs...
Ornithine Aspartate
【Strength】APIs...
Nifuratel Tablets
Strength:0.2g...
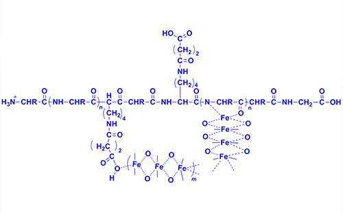
lron Proteinsuccinylate Oral Solution
【Strength】Iron Proteinsuccinylat...
Tenofovir Alafenamide Tablet
【Strength】25mg...
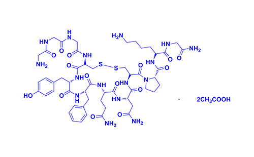
terlipressin for injection
【Strength】1 mg...
Esomeprazole Sodium
【Pharmaceutical Form】APIs...
Policresulen
【Pharmaceutical Form】APIs...
Halometasone Cream
【Strength】0.05%(15g:7.5mg)...
Friendly link:
CFDA
CDE
CFDI
CPC
NIFDC