首页
关于华睿鼎信
公司介绍
公司文化
企业荣誉
研发中心
上市产品
在研产品
服务项目
新闻中心
行业新闻
公司新闻
合作伙伴
联系我们
商务洽询
招贤纳士
联系方式
中文
英文
首页
关于华睿鼎信
公司介绍
公司文化
企业荣誉
研发中心
上市产品
在研产品
服务项目
新闻中心
行业新闻
公司新闻
合作伙伴
联系我们
商务洽询
招贤纳士
联系方式
中文
英文
首页
研发中心
在研产品
上市产品
在研产品
服务项目
在研产品
PRODUCT UNDER RESEARCH
硫酸普拉西坦片
【规格】600mg...
头孢克肟颗粒
【规格】50mg...
奥利司他原料及奥利司他胶囊120mg
【规格】120mg...
聚甲酚磺醛溶液(36%)
【规格】36% 10ml...
艾司奥美拉唑镁肠溶片
【规格】20mg/40mg 【剂型】片剂...
右旋雷贝拉唑钠肠溶片
【规格】10mg 【剂型】片剂...
左旋泮托拉唑钠肠溶片
【规格】20mg 【剂型】片剂...
艾司奥美拉唑钠肠溶片
【规格】20mg/40mg...
硫酸普拉西坦片
【规格】600mg...
扁桃酸乌洛托品片
【规格】1g...
非洛地平缓释片
【规格】5mg 【剂型】片剂...
草木犀流浸液片
【规格】每片400mg...
盐酸曲美他嗪缓释片
【规格】35mg...
奥氮平氟西汀胶囊
【规格】(1)3mg/25mg(2)6mg/25mg 【剂型】...
盐酸普拉克索胶囊
【规格】0.125mg/0.25mg 【剂型】胶...
雷贝拉唑钠肠溶微丸胶囊
【规格】20mg...
注射用右旋雷贝拉唑钠
【规格】10mg...
注射用左旋泮托拉唑钠
【规格】20mg...
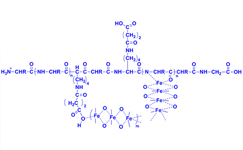
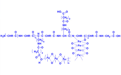
蛋白琥珀酸铁
【剂型】原料药...
聚甲酚磺醛溶液1%
【规格】1%(g/ml)...
聚甲酚磺醛
【剂型】原料药...
艾司奥美拉唑镁
【剂型】原料药...
右旋雷贝拉唑钠
【剂型】原料药...
左旋泮托拉唑钠
【剂型】原料药...
艾司奥美拉唑钠
【剂型】原料药...
盐酸普拉克索
【剂型】原料药...
硫酸普拉西坦
【剂型】原料药...
扁桃酸乌洛托品
【剂型】原料药...
门冬氨酸鸟氨酸
【剂型】原料药...
硝呋太尔片
【规格】0.2g...
蛋白琥珀酸铁口服溶液
【规格】每支 15 ml...
碳酸镧颗粒
【规格】500mg...
雷贝拉唑钠肠溶片
【规格】20mg...
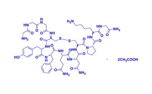
注射用特利加压素及原料
【规格】1mg...
伊拉地平原料及伊拉地平缓释胶囊
【规格】2.5mg和5mg...
复方乌鳢口服液
【规格】每支装10ml...
友情链接:
国家市场监督管理总局
药品审评中心
食品药品审核查验中心
国家药典委员会
中国食品药品检定研究院